Clock2Q+: Correlation-Aware Metadata Caching Replacement Algorithm for Enterprise Storage Systems
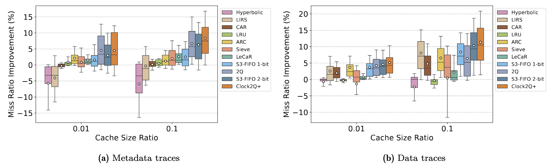
Metadata caches show correlated references that trick LRU/2Q/CLOCK/S3-FIFO into marking blocks “hot.” Clock2Q+ uses three queues + a correlation window so near-duplicate hits don’t set the reference bit.
- Characterized metadata correlation across block-cache datasets (e.g., B-tree leaves).
- Designed/implemented Clock2Q+ for high-locality requests.
- Observed up to 28.5% miss-ratio reduction on metadata traces; wins carry to data traces.


